The flavonoid naringin occurs naturally in citrus fruits, especially in grapefruit. Naringin and its aglycone naringenin belong to this series of flavonoids and were found to possess strong antioxidant and anti-inflammatory activities both in vitro and in vivo. Several lines of investigation suggest that naringin supplementation is beneficial for the treatment of obesity, diabetes, hypertension, and metabolic syndrome.
Naringin has been shown to inhibit cell proliferation and to promote cell apoptosis in tumour cells, including triple-negative breast cancer (TNBC) cells, human cervical cancer (SiHa) cells and bladder cancer cells. In TNBC cells, the pro-apoptotic activity of naringin results from G1-phase cell cycle arrest. Suppression of the growth of breast cancer cells by naringin is mediated by inhibition of the β-catenin pathway, leading to a significantly increased p21 level and decreased cell survival.
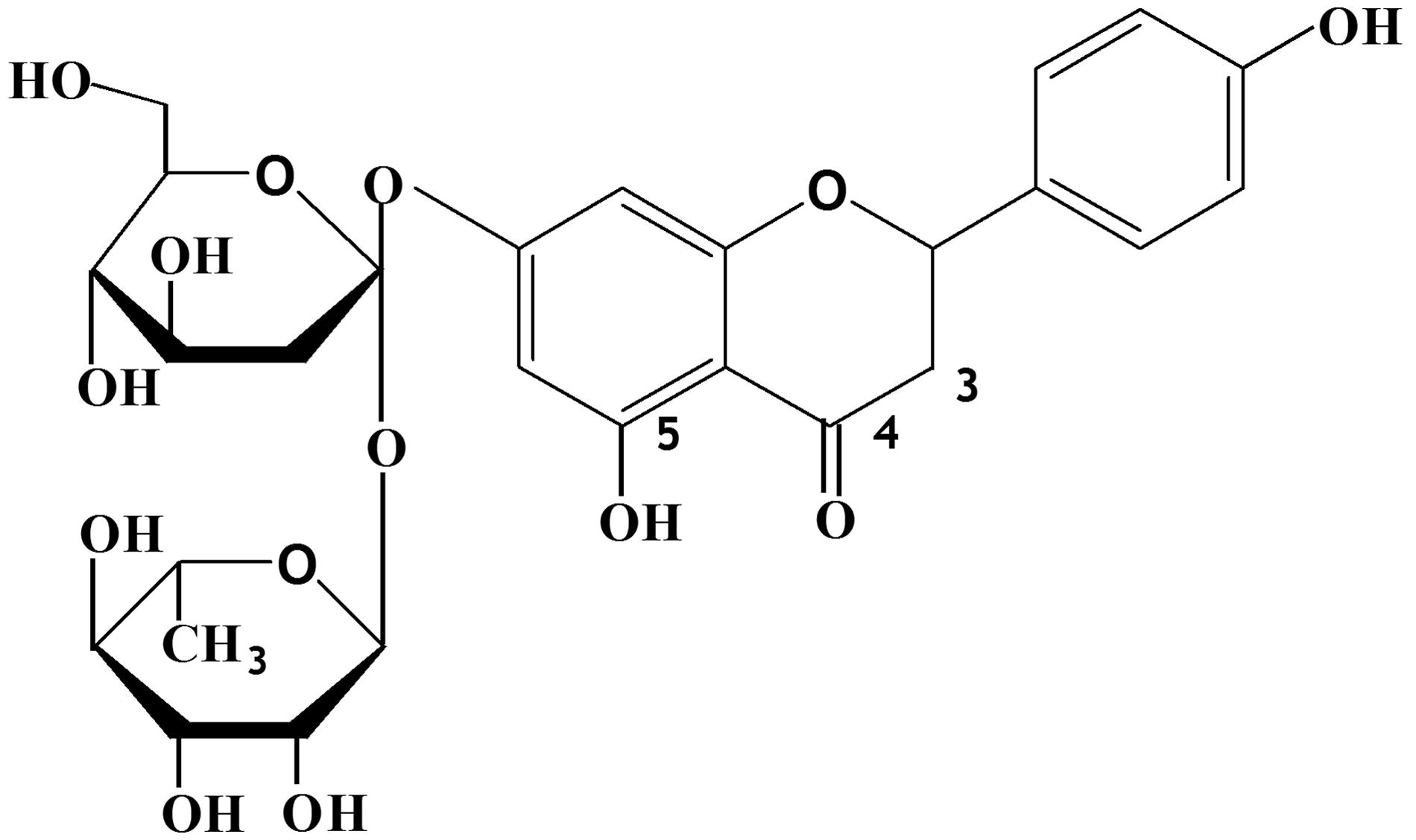
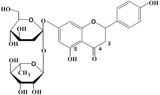
Naringin the 7-, β -neohesperidoside of naringenin (with the molecular formula C27H32O14 and a molecular weight of 580.4 g/mol) is a flavanone glycoside possesses the distinct bitter taste of grapefruit juice.
It has antioxidant potential and plays an important role in the development of leaves, flowers, buds and fruits of plants. It has further induced bitterness to the fruits as in grape fruit. However, the bitterness can be reduced upon reduction by the enzyme naringinase.
The skin of pummelo contained a higher amount of naringin (3910 μg/g fresh weight) than the juice (220·0 μg/g fresh weight) whereas the amounts of naringin obtained from the skin, juice and seed of rough lime were 517·2 μg/g, 98·4 μg/g and 29·2 μg/g fresh weight, respectively.
Naringin is less potent compared with naringenin because the sugar moiety in the former causes steric hindrance of the scavenging group. Naringin is moderately soluble in water. The gut microflora breaks down naringin to its aglycon naringenin in the intestine; it is then absorbed from the gut.
Three steps are needed to isolate naringin from fruits: extraction, separation and purification. The naringin content in fruit depends on a number of factors the time of fruit collection, the part of the fruit used and if the peel is the source of naringin, the drying time.
Flavonoid of naringin
Food science is the study of food's composition, properties, and interactions with biological and chemical processes. It explores how food is processed, preserved, and safely consumed. By combining biology, chemistry, and nutrition, food science improves food quality, enhances flavor, and ensures safety for global consumption.
The Most Popular Post
-
Crude fiber is a measure of the quantity of indigestible cellulose, pentosans, lignin, and other similar components present in foods. It rep...
-
Calcium is essential for building and maintaining healthy bones and tooth structure, and it plays a critical role in the function of nerves ...
-
Beneficial bacteria play essential roles in various ecosystems, including the human body. Some examples include: Human Gut Microbiota Lacto...
-
Selenium, a trace element discovered by Swedish chemist Berzelius in 1817, emerges as a potent yet often overlooked weapon in the fight agai...
-
Beginning in the 1990s, scientists embarked on a revolutionary journey by creating numerous genetically modified (GM) food varieties. This m...
