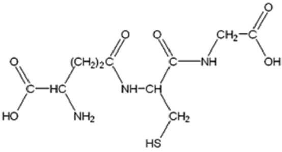
Glutathione (GSH) is an antioxidant and anti-carcinogen that is present in plant and animal tissues that form the bulk of the human diet.
It is a natural compound present in every cell, and acting essentially as an antioxidant. It is nowadays produced by humans as a food complement recommended for staying in good health.
It allows these cells keeping adequate redoxy potential, and acts in detoxification and eliminatory functions. Under its reduced form, it is the most important cellular antioxidant.
Because of its central role in detoxification, approximately 25% of all the body’s glutathione resides in the liver alone. Glutathione is also concentrated in the kidneys and in mucosal secretions of the intestinal lining and lungs. It is present inside cells and in extracellular fluids.
Consuming foods rich in sulphur-containing amino acids can help boost glutathione levels. Here are some food sources and dietary supplements that help boost glutathione levels naturally.
Glutathione as antioxidant
Food science is the study of food's composition, properties, and interactions with biological and chemical processes. It explores how food is processed, preserved, and safely consumed. By combining biology, chemistry, and nutrition, food science improves food quality, enhances flavor, and ensures safety for global consumption.
The Most Popular Post
-
Calcium is essential for building and maintaining healthy bones and tooth structure, and it plays a critical role in the function of nerves ...
-
Beneficial bacteria play essential roles in various ecosystems, including the human body. Some examples include: Human Gut Microbiota Lacto...
-
Crude fiber is a measure of the quantity of indigestible cellulose, pentosans, lignin, and other similar components present in foods. It rep...
-
Selenium, a trace element discovered by Swedish chemist Berzelius in 1817, emerges as a potent yet often overlooked weapon in the fight agai...
-
Flavonoids, a diverse group of phytonutrients found in many fruits and vegetables, are divided into several subgroups, including chalcones, ...
